beat365官方网站
设为首页
|
加入收藏
|
联系我们
学院概况
学院简介
院长寄语
学院领导
联系方式
资讯中心
学院新闻
通知公告
学术活动
师资力量
专职教师
兼职教师
教学教务
本科生
研究生
博士生
双学位
留学生
LLM
科学研究
北外法学
科研成果
研究中心
知识产权研究中心
英美法研究中心
国际廉政法制研究中心
中外教育法研究中心
中国企业走出去战略中心
中非法律研究中心
校园生活
团总支
学生会
研究生会
丽泽法律社
知识产权服务站
人才招聘
教学科研岗
全职教学岗
外籍专家(长、短期)
行政专员
Visiting Scholar
校友资源
校友名录
校友活动
党群共建
党建概述
党建动态
党员发展
工会活动
下载专区
教工专区
学生专区
IP MOOT COURT
Introduction
Previous Competitions
2025 IP MOOT COURT
2024 IP MOOT COURT
2023 IP Moot Court
2022 IP MOOT COURT
2021 IP MOOT COURT
2019 IP MOOT COURT
2018 IP MOOT COURT
PREVIOUS COMPETITION
2026 IP MOOT COURT
学院概况
>
资讯中心
>
通知公告
>
正文
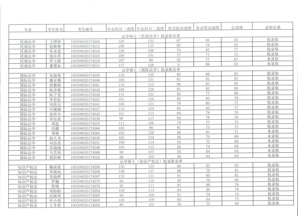
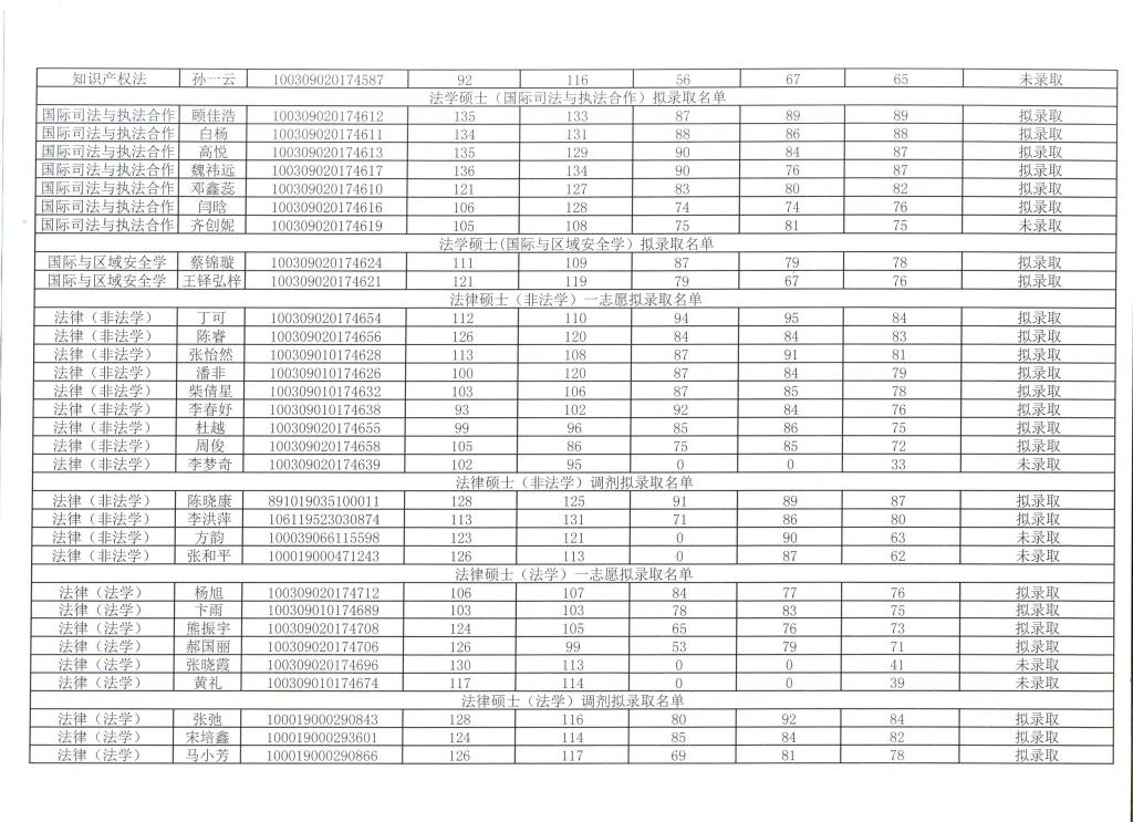
2019年beat365官方网站硕士研究生拟录取预公示名单
作者:
时间:04-04
2019年beat365官方网站硕士研究生拟录取预公示名单
上一条:
2019年beat365官方网站硕士研究生拟录取预公示名单
下一条:
2019年beat365官方网站法律硕士调剂复试名单
分享到: